| Molecular mechanism underlying functional dynamics |
We have investigated molecular mechanism underlying functional dynamics based on dynamic disorder and ....
Cascading Hopping as Ion Conduction Mechanism of Inorganic Glass Solid-State Electrolytes of Lithium-Aluminum-Chloride with Non-monotonic Composition Dependence
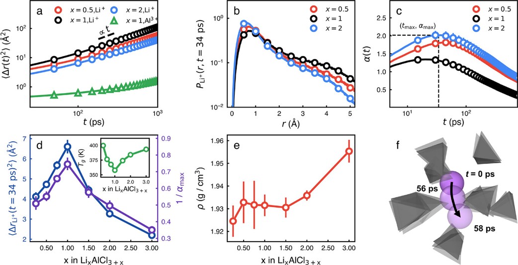
Inorganic glass solid-state electrolytes (IGSSEs) exhibit superionic conductivity at ambient temperature. Understanding their ion conduction mechanism remains challenging but is essential for the development of next-generation all-solid-state batteries. The coupling between lithium ion diusion and the rotation of neighboring polyanions, known as the paddlewheel eect, has been proposed as a possible mechanism, though its existence remains controversial. Herein, a systematic and extendible approach is proposed to explore the ion conduction mechanism of IGSSEs using large-scale machine learning molecular dynamics (MLMD) simulations and hop function analysis. A machine learning potential is constructed for model IGSSEs of Lix AlCl3+x (x = 0.25 to 3). MLMD simulation results reproduce the experimentally observed non-monotonic composition dependence of lithium-ion conductivity, with a maximum at x = 1. Hop function analysis reveals that lithium ion diusion occurs mainly via cascading hopping events rather than paddlewheel motions. The cascading hops are composition-dependent and account for the observed non-monotonic composition dependence. The non-monotonic composition dependence arises from a delicate balance between the local concentrations of lithium ions and the lithium vacancies.
Kang, Yu, Saito, Jang, & Sung, Adv.Sci. (2025).

