Molecular Mechanism underlying Complex Diffusion
Enhanced particle diffusion in fluctuating binary environments
We investigate single-particle diffusion in a two-state Langevin model where the friction coefficient randomly switches between low-friction (liquid-like) and high-friction (glassy-like) states. The dynamics are governed by the ratio between the friction switching time τ and the intrinsic velocity relaxation time τ0. For fast switching (τ/τ0 <~ 1) the motion is homogeneous and Brownian, whereas for slow switching (τ/τ0 >> 1) the particle exhibits intermittent dynamics and an enhanced diffusion coefficient. Analysis of the single-particle overlap function Q(t) and the dynamic susceptibility χ4(t) reveals decoupling of the diffusion coefficient from the average friction upon cooling, which coincides with increasing temporal dynamic heterogeneity. This minimal model provides a transparent framework for understanding single-particle transport in media with temporally fluctuating local mobility and intermittent fast/slow dynamical regimes.
Perakis, Kawasaki, & Saito, Phys. Rev. Res. (2026).
Cascading Hopping as Ion Conduction Mechanism of Inorganic Glass Solid-State Electrolytes of Lithium-Aluminum-Chloride with Non-monotonic Composition Dependence
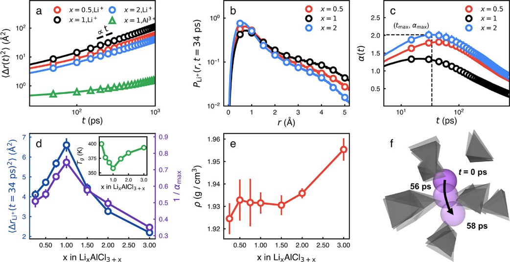
Inorganic glass solid-state electrolytes (IGSSEs) exhibit superionic conductivity at ambient temperature. Understanding their ion conduction mechanism remains challenging but is essential for the development of next-generation all-solid-state batteries. The coupling between lithium ion diusion and the rotation of neighboring polyanions, known as the paddlewheel eect, has been proposed as a possible mechanism, though its existence remains controversial. Herein, a systematic and extendible approach is proposed to explore the ion conduction mechanism of IGSSEs using large-scale machine learning molecular dynamics (MLMD) simulations and hop function analysis. A machine learning potential is constructed for model IGSSEs of Lix AlCl3+x (x = 0.25 to 3). MLMD simulation results reproduce the experimentally observed non-monotonic composition dependence of lithium-ion conductivity, with a maximum at x = 1. Hop function analysis reveals that lithium ion diusion occurs mainly via cascading hopping events rather than paddlewheel motions. The cascading hops are composition-dependent and account for the observed non-monotonic composition dependence. The non-monotonic composition dependence arises from a delicate balance between the local concentrations of lithium ions and the lithium vacancies.
Kang, Yu, Saito, Jang, & Sung, Adv. Sci. (2025).

